
작성일시: 2023년 8월 4일 오후 2:10
등급: Easy
📖Problem : 94. Binary Tree Inorder Traversal
Binary Tree Inorder Traversal - LeetCode
Can you solve this real interview question? Binary Tree Inorder Traversal - Given the root of a binary tree, return the inorder traversal of its nodes' values. Example 1: [https://assets.leetcode.com/uploads/2020/09/15/inorder_1.jpg] Input: root = [1,nu
leetcode.com
Given the root of a binary tree, return *the inorder traversal of its nodes' values*.
⇒ 이진 트리가 주어졌을 때, 각각의 노드를 inorder trabersal 순서에 따라 배열하는 함수를 작성하라!
Example1:

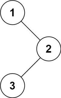
Input: root = [1,null,2,3]
Output: [1,3,2]
Example 2:
Input: root = []
Output: []
Example 3:
Input: root = [1]
Output: [1]
Constraints:
- The number of nodes in the tree is in the range
[0, 100]. 100 <= Node.val <= 100
🔍Institution
여기서 Inorder Traversal이란?
자료구조에 대해 공부했다면 당연히 알고 있는 지식이겠지만 이미지로 한번 더 살펴보자!

그렇다면 이 문제는 DFS일까, BFS일까?
- 여기서 BFS는 left에서 right로 가지만 DFS는 깊게 들어가는 것이다.
- DFS를 탐색하는 방식으로는 postorder, inorder, preorder가 있다. 그 중에서도 inorder로 traversal을 하라고 하였으므로, DFS로 푸는 문제이다.
DFS는 어떻게?
- DFS는 스택이나 재귀함수로 푼다.
여기서 어떤 과정이 반복될까?
- left, root, right순으로 호출하는 것이 반복된다.
이때 leetcode에서는 Tree code를 아래와 같이 제공한다. 따라서 입력받거나 tree의 로직을 짤 필요는 없다.

🔍Process
1. 재귀함수 호출방식
inorder의 방식은 left, root, right이다. 따라서 재귀함수로 left, root, right순으로 호출하면 되겠다고 판단하였다.
def dfs(root):
dfs(root.left)
dfs(root.val)
dfs(root.right)
이때 반환값이 있어야 한다. 반환된 output을 보면 리스트 형태이기 때문에 answer 리스트를 만들어준 후, 호출할 때 answer를 append해준다.
2. return 해줄 정답 리스트, answer
answer = []
이때 어떤 값을 answer해줘야 할까?
print(root) 하면 아래와 같이 나온다.
3. 문제에서 주어준 TreeNode 방식 이해하기 ➡ answer에 저장해야 할 값 찾기
print(root)
TreeNode{val: 1, left: None, right: TreeNode{val: 2, left: TreeNode{val: 3, left: None, right: None}, right: None}}

⇒ 이를 통해 보았을 때 answer 리스트에 저장해야 하는 값은 val이라는 것을 알 수 있다.
left인 줄 알았던 나.. 역시 직접 적어봐야 정확한 값을 알 수 있다. 어쨌든, answer리스트에는 val의 값을 append하면 된다. val이 끝이니까 dfs함수로 호출할 필요는 없다. 따라서 이렇게 표현할 수 있다.
answer = []
def dfs(root):
dfs(root.left)
answer.append(root.val) #answer 리스트에 추가
dfs(root.right)
dfs(root)
return answer
4. 재귀함수 종료 조건
이때 여기서 끝날 수 없다. 재귀함수를 종료할 조건이 필요하며, example2([]) 처럼 빈 리스트가 들어올 경우 빈 리스트가 return되도록 해야 한다.
즉, root에 아무 값도 없을 경우를 고려해야 한다. root에 아무값이 없다면 더 진행할 필요 없이 그냥 pass하면 된다.
answer = []
def dfs(root):
if root is None:
continue
else:
dfs(root.left)
answer.append(root.val)
dfs(root.right)
dfs(root)
return answer
여기서 혹시 잘못된 것을 눈치챘는가?!
continue를 사용하면 아래와 같은 에러가 발생한다.

continue는 loop에서는 적절하지 않은 방식이다. 난 바보같이 몰랐다.. 이렇게 배워가는거지 뭐..
loop (재귀든 뭐든)일 때 continue와 같은 역할을 하는 것은 return이다. 그냥 return만 적어주면 된다. 이렇게 배운다.
따라서 아래와 같은 최종 코드가 나올 수 있따.
# Definition for a binary tree node.
# class TreeNode:
# def __init__(self, val=0, left=None, right=None):
# self.val = val
# self.left = left
# self.right = right
class Solution:
def inorderTraversal(self, root: Optional[TreeNode]) -> List[int]:
answer = []
print(root)
def dfs(root):
if root is None:
return
else:
# inorder
dfs(root.left) #
answer.append(root.val)
dfs(root.right)
dfs(root)
return answer
🔍Answer
🚩My submission
# Definition for a binary tree node.
# class TreeNode:
# def __init__(self, val=0, left=None, right=None):
# self.val = val
# self.left = left
# self.right = right
class Solution:
def inorderTraversal(self, root: Optional[TreeNode]) -> List[int]:
answer = []
print(root)
def dfs(root):
if root is None:
return
else:
dfs(root.left)
answer.append(root.val)
dfs(root.right)
dfs(root)
return answer


🚩Others submission
나처럼 풀이해도 되지만, 아래의 코드도 깔끔해서 가져왔다.
def inorderTraversal(self, root: TreeNode) -> List[int]:
if root is None: return []
def dfs(root,res):
if root is None: return
dfs(root.left,res)
res.append(root.val)
dfs(root.right,res)
return res
return dfs(root,[])
DFS를 푸는 방법은 스택과 재귀함수 이렇게 2가지가 있으며, 내가 풀지 않은 스택으로 푸는 방법의 풀이를 가져왔다.
def inorderTraversal(self, root: TreeNode) -> List[int]:
stack = [root]
res = []
while stack:
node = stack.pop()
if node:
stack.append(node.right)
stack.append(node)
stack.append(node.left)
else:
if stack:
node = stack.pop()
res.append(node.val)
💡TIL
- 함수에서 나올라면 continue가 아니라 return… 을 해야 한다.
- 재귀함수에 대해 거부감이 들지만 코드로 구현하는 것은 재귀가 더 쉽다.
- 이 문제는 DFS의 기본이 되는 traversal 문제라고 한다. 기본기를 탄탄히 하자!